Skip to content Skip to sidebar Skip to footer

Widget HTML #1

How To Add Rational Expressions With Different Denominators : Adding rational expressions with unlike denominators.

How To Add Rational Expressions With Different Denominators : Adding rational expressions with unlike denominators.. Decimal representation of rational numbers. Find the lcd of 12 and 18. Here are the steps you need to follow: The second fraction can be multiplied by x+2. Adding and subtracting rational expressions.

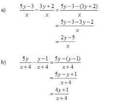
Follow the same process to add rational expressions with like denominators. To add fractions with like denominators, add the numerators and keep the same denominator. Graphing rational functions with holes. This video provides two examples of how to add and subtraction rational expressions when the denominators are different.library: Similarly, rational expressions can be added or subtracted if and only if they have the same denominator.

Add Or Subtract Rational Expressions With Like Denominators X A And X 2 Bx C Youtube
Add Or Subtract Rational Expressions With Like Denominators X A And X 2 Bx C Youtube from i.ytimg.com
Translating the word problems in to algebraic. Follow the same process to add rational expressions with like denominators. To add rational expressions, they must have a common denominator. A rational expression is an expression in the form of a fraction where the numerator and/or the denomi. Let's look at this example: Rewrite each rational expression with the lcd as the denominator. Write each expression using the lcd. Just like you would with any other fractions!

You know how to do this with numeric fractions.

Decimal representation of rational numbers. Just like you would with any other fractions! To add or subtract two rational expressions with the same denominator, we simply add or subtract the numerators and write the result over the common denominator. Finding square root using long division. Now we have all the steps we need to add rational expressions with different denominators. To add or subtract rational expressions with unlike denominators, first find the lcm of the denominator. L.c.m method to solve time and work problems. When the denominators are not the same, we must manipulate them so that they become the same. Here are the steps you need to follow: Find the lcd of 12 and 18. This video explains how to add or subtraction rational expressions with unlike denominators and then simplify the result. Find the least common denominator of rational expressions. This algebra video tutorial explains how to add and subtract rational expressions with unlike denominators.

Khan academy is a 501(c)(3) nonprofit organization. When the denominators are not the same, we must manipulate them so that they become the same. Learn how to add and/or subtract rational expressions. Domain and range of rational functions with holes. These problems involve having denominators that are unlike.

Adding And Subtracting Rational Expressions With The Same Denominators Youtube
Adding And Subtracting Rational Expressions With The Same Denominators Youtube from i.ytimg.com
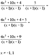
To add fractions with like denominators, add the numerators and keep the same denominator. If we review the procedure we used with numerical fractions, we will know what to do with rational expressions. Add or subtract the numerators. Find the least common denominator of rational expressions. Make sure each term has the lcd as its denominator. Add & subtract rational expressions: When the denominators are not the same, we must manipulate them so that they become the same. This is done by finding the product of different prime factors and the greatest exponent for each factor.

Click on the link if you need to review the steps for finding the lcd.

A rational expression is a ratio of two polynomials. When we add or subtract rational expressions with unlike denominators, we will need to get common denominators. To add or subtract rational expressions with unlike denominators, first find the lcm of the denominator. Follow the same process to add rational expressions with like denominators. Here are the steps you need to follow: When we add or subtract rational expressions with unlike denominators we will need to get common denominators. Now we have all the steps we need to add rational expressions with different denominators. Similarly, rational expressions can be added or subtracted if and only if they have the same denominator. Your first 5 questions are on us! Find the new numerator for. 2) next, combine the numerators by the indicated operations (add and/or subtract) then copy the common denominator. To add rational expression with different denominators, the following steps are followed: Watch it all in this tutorial!

This video provides two examples of how to add and subtraction rational expressions when the denominators are different.library: Your first 5 questions are on us! When the denominators of two algebraic fractions are different, we need to find the lcm of the denominators (also called the lcd) before we add or subtract the fractions. Follow the same process to add rational expressions with like denominators. The least common denominator is the same as the least common multiple (lcm) of the given denominators.

Adding And Subtracting Rational Expressions With Unlike Denominators Youtube
Adding And Subtracting Rational Expressions With Unlike Denominators Youtube from i.ytimg.com
Translating the word problems in to algebraic. This video explains how to add or subtraction rational expressions with unlike denominators and then simplify the result. Determine the least common denominator (lcd). Watch the process in this tutorial. This video provides two examples of how to add and subtraction rational expressions when the denominators are different.library: Rewrite each rational expression as an equivalent rational expression with the lcd. Follow the same process to add rational expressions with like denominators. The lcm of the denominators of fraction or rational expressions is also called least common denominator, or lcd.

Write each expression using the lcd.

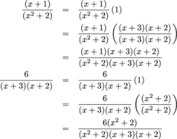
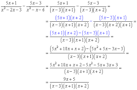
Factor the denominator of each fraction to help find the lcd. Let's look at the example 7 12 + 5 18 7 12 + 5 18 from. Click on the link if you need to review the steps for finding the lcd. A rational expression is an expression in the form of a fraction where the numerator and/or the denomi. The second fraction can be multiplied by x+2. Since x is anything, the only multiple of (x+2) and (x+1) is (x+1) (x+2). Decimal representation of rational numbers. To add fractions with like denominators, add the numerators and keep the same denominator. To add or subtract two rational expressions with the same denominator, we simply add or subtract the numerators and write the result over the common denominator. Translating the word problems in to algebraic. So let's add six over 2x squared minus seven to negative 3x minus eight over 2x squared minus seven and like always pause the video and try to work it out before i do well when you look at this we have these two rational expressions and we have the same denominator 2x squared minus 7 so you could say we have 6 2x squared minus 7 and then we have negative 3x minus 8 2x squared minus 7 is one. This algebra video tutorial explains how to add and subtract rational expressions with unlike denominators. Learn how to add rational expressions.

Once you have common denominators, you're ready to add and simplify! how to add rational expressions. You multiply the first fraction by (x+1) and will get (x+1)/ (x+2) (x+1).